我院在1965、1976和1994年先后开展了肝移植的动物实验研究,并在动物研究的基础上,于1978-1980年施行了3例原位肝移植术,这3例均为晚期肝癌病人,其中2例术后2-3个月内均发现肿瘤复发,加上缺乏有效的免疫抑制剂,最长存活时间只有148d(表1)。从1996年5月起至今,我院又施行了3例背驮式原位肝移植术,除第1例手术后7个月死于急生重型肝炎并发急性坏死性胰腺炎外,其余2例病人均已恢复(表2)。
表1 1978-1980年3例肝移植病人情况
| 病例 | 性别 | 年龄 | 诊断 | 存活时间(d) | 死因 |
| 1 | 男 | 39 | 原发性肝癌 | 10 | 肝功能衰竭,肺部感染 |
| 2 | 男 | 23 | 原发性肝癌 | 148 | 急性重型肝炎并发感染 |
| 3 | 男 | 31 | 原始性肝癌 | 137 | 感染并发脑出血 |
表2 1996-1997年3例肝移植病人情况
| 病例 | 性别 | 年龄 | 诊断 | 存活时间 | 结果 |
| 1 | 男 | 26 | 肝炎后肝硬化 | 210d | 急性重型肝炎并发急性胰腺炎死亡 |
| 2 | 女 | 16 | 肝豆状核变性 | 1996年8月2日起 | 已恢复上学 |
| 3 | 男 | 9 | 肝豆状核变性 | 1997年1月31日起 | 已恢复上学 |
一、一般资料
1996-1997年的3例病人中,例1为乙型肝炎后肝硬化病人,曾经3次食管曲张静脉破裂出血,入院时大量腹水,经积极保肝治疗后腹水消退。术前HBsgA阳性、HBcAb阳性,而HBV-DNA阴性。例2和例3均为肝豆状核变性病人,例2主要表现为神经系统症状,如口齿不清、步态蹒跚和书写困难等;例3主要表现为肝硬化、反复黄疸和腹水。
二、麻醉及手术方式
我们对3例病人均采用持续硬膜外阻滞麻醉加吸入性全麻的方法。具体方法是:经胸8和胸9行硬膜外穿刺,向上置管3.5cm,2%利多卡因5ml试验量,首剂量为0.75%布比卡因10ml,以后每隔1.5h加0.75%布比卡因5ml,麻醉平面维持在胸3至胸11。面罩给氧去氮5min,静注安定5mg芬氟合剂1剂,异丙酚100mg,琥珀胆碱100mg,气管插管后控制呼吸,1%的异氟醚维持麻醉。术中监测ECG、SpO2、EtCO2、鼻咽温度、气道压、通气量、呼出气中异氟醚浓度、桡动脉实时测压,经右颈内静脉置入Swan-Ganz导管监测全套血流动力学参数。
对3例病人均采用背驮式技术,均未行静脉转流。供肝的冷缺血时间为6-9.16h(表3),总手术时间为9-14h(表4)。3例中有2例供体肝动脉变异,例1的代肝肝动脉为起源于肠系膜上动脉的替代肝动脉(图1)。例3除正常起源的肝动脉外,另有起源于肠系膜上动脉及胃左动脉的副肝动脉(图2)
表3 3例病人的供肝灌注及冷缺血时间
| 灌注液(L) | 冷缺血时间(h) | ||
| 病例 | UW液(腹主动脉灌注) | 林格液(门静脉灌注) | |
| 1 | 2.0 | 6.0 | 9.17 |
| 2 | 2.5 | 4.5 | 6 |
| 3 | 2.0 | 5.0 | 7.2 |
表4 3例病人的手术各期所用时间
| 病例 | 腔静脉吻合时间(min) | 门静脉吻合时间(min) | 肝动脉吻合时间(min) | 无肝期时间(min) | 总手术时间(h) |
| 1 | 90 | 12 | 45 | 180 | 14 |
| 2 | 36 | 15 | 20 | 139 | 9 |
| 3 | 21 | 15 | 90 | 100 | 10 |

图1 例1病人供体肝动脉变异情况

图2 例3病人供肝体肝动脉变异情况
A. 供体肝动脉变异情况B.供肝修整和肝动脉重建后情况
三、术中各项指标的变化
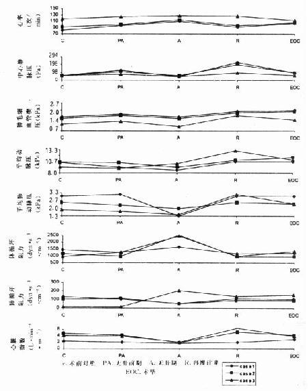
在整个手术过程中,3例病人在病肝切除期的各项指标基本保持稳定(图3),只有例1由于分离肝脏时渗血较多(表5),出现平均动脉压下降,经补充血容量后,得到纠正。无肝期由于下腔静脉的钳夹,使回心血量下降,引起心率的反射性加快、中心静脉压和肺动脉楔压下降、体循环阻力升高、肺循环阻力下降、心输出量及平均动脉压下降、肝脏再灌注后各项指标逐渐恢复正常。在无肝期和肝脏再灌注期,有较明显的酸碱平衡、代谢和体温的变化,最突出的表现为无肝期低体温、低钙和高糖,再灌注期的高钾和代谢性酸中毒(表6,7)。肝脏再灌注后,体温逐渐回升,血糖逐渐下降,这也是供肝功能良好的一个指标。
整个手术过程中未行静脉转流,例1和例3由于术前肝硬化严重,有丰富的侧支循环存在,未发现明显的肠道淤血,例2由于无明显肝硬化,术中发现肠道淤血明显。
表5 3例病人的术中出血量和输血量
| 病例 | 出血量(L) | 输全血(L) | 血浆(L) |
| 1 | 14 | 9.2 | 2.3 |
| 2 | 3 | 3.6 | |
| 3 | 1.7 | 1.6 | 0.2 |
表6 3例病人的术前、术中体温的变化(℃)
| 病例 | 术前 | 无肝期前 | 无肝期 | 再灌注期 | 手术结束之高阁 |
| 1 | 36.5 | 35.2 | 32.9 | 34.9 | 35.6 |
| 2 | 36.8 | 35.5 | 32.8 | 35.2 | 35.8 |
| 3 | 36.4 | 35.6 | 34.0 | 34.7 | 35.3 |
表7 术中电解质和血糖的变化(mmol/L)
| 名称 | 病例 | 术前 | 无肝期前 | 无肝病 | 再灌注期 | 手术结束 |
| Na+ | 1 | 140.0 | 139.0 | 138.0 | 144.0 | 134.0 |
| 2 | 139.0 | 140.0 | 137.0 | 141.0 | 135.0 | |
| 3 | 130.0 | 132.0 | 136.0 | 141.0 | 138.0 | |
| 1 | 3.45 | 3.89 | 3.1 | 5.1 | 3.2 | |
| K+ | 2 | 3.40 | 3.80 | 3.1 | 5.2 | 3.2 |
| 3 | 3.20 | 4.57 | 3.6 | 3.8 | 3.4 | |
| 1 | 104.0 | 101.0 | 98.0 | 100.0 | 102.0 | |
| Cl+ | 2 | 101.0 | 100.0 | 97.0 | 101.0 | 102.0 |
| 3 | 103.0 | 102.0 | 104.0 | 99.0 | 107.0 | |
| 1 | 1.25 | 1.0 | 1.1 | 1.4 | 1.5 | |
| Ca+ | 2 | 1.15 | 1.1 | 1.0 | 1.4 | 1.5 |
| 3 | 2.50 | 2.4 | 2.6 | 2.7 | 2.6 | |
| 1 | 5.0 | 6.7 | 10.1 | 5.2 | 5.0 | |
| Glu | 2 | 5.2 | 6.5 | 11.8 | 5.7 | 5.5 |
| 3 | 3.2 | 5.5 | 15.0 | 8.8 | 7.4 |
四、术后情况
术后处理按本院常规(附录三)进行,术后各项指标变化见图4、5、6。
1.一般情况3例病人均在术后第3天开始进流质饮食,例1和例2在术后第5天开始下地活动,例3由于术后腹腔内渗血和积液,腹腔双套管留置时间较长,直到术后第14天才下地活动。由于术后大量使用皮质激素,除发生急性排异反应外,体温均保持正常。

图3 3 例病人术中各项循环指标
术前对照 PA.无肝前期 A.无肝期 R.再灌注期EOC.术毕

图4 例1病人术后主要临床指标及抗排异治疗

图5 例2病人术后各项临床指标及抗排异治疗

图6 例3病人术后主要临床指标及抗排异治疗
2.胆汁引流量和血清胆红素的变化 例1和例2在术后第2天胆汁引流量就超过100ml/24h,发生排异反应时,胆汁引流量均减少,血清胆红素升高。随后着排异反应的控制,胆汁引流量增加,血清胆红素下降。例1在术后1个月血清胆红素降至正常。例2在术后2周血清胆红素降至正常,例3胆汁引流量在术后第5天开始下降,术后第7天降至43ml/24h,最低时为33ml/24h,至术后29d胆汁引流量超过100ml/L,术后第5天开始血清胆红素升高,术后22d达到最高值(330μmol/L),然后逐渐下降,至术后60d降到正常,但整个过程肝脏合成功能一直良好,血清清蛋白维持在40g/L以上,凝血酶原时间一直正常。例3在术后第1天和术后第5天曾出现过环孢素过量的问题,其全血谷浓度分别达1421.45μg/L和594.27μg/L,造成肝脏中毒。另外在术后第5天出现的急性排异反应加重了对肝脏的损害,这可能是例3肝功能恢复延缓的主要原因。
3.急性排异反应 3例病人共发生4次急性排异反应,例1和例3分别于术后第7天和第5天发生急性排异反应,例2在术后第8天和第24天各发生1次排异反应。急性排异反应的主要临床症状为:体温升高、精神状态差、食欲下降、胆汁引流量减少和黄疸加深(表8);血清胆红素和转氨酶升高、血清sIL-2R水平升高和嗜酸粒细胞增加(表9)。
综合3例病人急性排异时的病理表现,有如下特点:肝细胞浊肿和水肿变性;可见肝细胞坏死,核破裂、固缩和溶解;肝细胞和毛细胆管淤胆;门管区中央静脉周围大量淋巴细胞及中性粒细胞浸润。
表8 排异反应的临床症状*
| 病例 | 术后天数 | 精神萎靡 | 食欲下降 | 体温升高 | 胆汁减少 | 头痛 |
| 1 | 7 | √ | √ | √ | √ | |
| 2 | 8 | √ | √ | √ | √ | |
| 24 | √ | √ | √ | * | √ | |
| 3 | 5 | √ | √ | √ | √ |
*由于已经夹管,胆汁引流量未观察
表9 达式急性排异反应时化验指标的变化
| 病例 | 术后天数 | 嗜酸细胞升高 | 胆红素升高 | 血sIL-2R升高 |
| 1 | 7 | √ | √ | √ |
| 2 | 8 | √ | √ | √ |
| 24 | √ | √ | √ | |
| 3 | 5 | √ | √ | √ |
由于及时行冲击治疗,胆红素未升高
4.“T”型管的管理3例病人胆管重建后均放置T型支撑着,例1和例2均在术后19d夹管,例3由于观察胆汁引流量的需要,至术后49d夹管。例1和例3在术后90d便拔管,例2于术后93d拔管,拔管前静脉注射菌必治1g。T型管拔除后未出现胆漏和胆管狭窄等情况。
5.结果 例1于术后210d死于急性重型肝炎合并急性坏死性胰腺炎,尸检见肝动脉、门静脉、胆管和下腔静脉吻合口良好,无血栓形成和狭窄,管壁也无增厚的表现。例2和例3均恢复良好,已经恢复上学。例2的神经系统症状已经明显得到改善。
由于术后预防性使用阿司匹林、潘生丁和低分子右旋糖酐,3例病人均未发生动脉和静脉血栓,也未发生细菌、霉菌和病毒的感染。
全部讨论(0)
请在登录后参与讨论...