(一)概论
临床医生经常为病人的诊断、治疗作出决定。这些临床决定亦即临床决策(clinical decision)。所谓决策(decision making)就是为达到同一目标在众多可以采取的方案中选择最佳方案。在临床处理病人的病情时,由于疾病临床表现复杂多变,诊治方法多种,有些药物还可能产生一些不良反应,患者的心理变化等等,促使医师在考虑上述情况后作出全面和合理的选择。
决策分析的基本步骤有以下四步:
1.供临床选择的治疗方法有时很多,此时要筛除一些“劣”的决策,有利于下一步的分析。
2.确定各决策可能的后果,并设置各种后果发生的概率。
3.确定决策人的偏爱,并对效用赋值。
4.在以下三步基础上去选择决策人最满意的决策,即期望效用最大的决策。
(二)诊断决策树模型
临床决策分析的模型很多,为说明诊断决策问题,在此介绍决策树模型。决策树(de-cision tree)是一种能够有效地表达复杂决策问题的数学模型。
决策树由一些决策点、机会点和决策枝、机会枝组成。一般用圆圈“○”表示机会点,发生的结果不在医师的控制之下;小方框“□”表示决策点,在决策点,医师必须在几种方案中选取一种;决策点相应的分枝称为决策枝;机会点相应的分枝称为机会枝。
下面介绍由Jc Sisson等人的一个关于胰腺癌的决策树模型(图6-4)。

图6-4 对疑似胰腺癌患者的诊断决策树(Lowenthal.1976)
胰腺癌常常难以在疾病的早期作出诊断,当发现时癌肿已有转移,患者多在短期内死亡。最可能患胰腺癌者包括40岁以上,中腹部疼痛持续1~3周的人。假设这类人中胰腺癌的发生率为12%。如有一种不冒什么风险的早期诊断方法对胰腺癌的检出率为80%(敏感度),但对有类似症状的非胰腺癌患者的假阳性率为5%,用此法诊断确诊的胰腺癌患者手术死亡率为10%,治愈率为45%。
根据上述疾病概率,诊断概率和死亡、治愈概率,如对1000人进行诊断、治疗,其所获得的益处,是否比不进行诊断检查和手术更大?可以用一个决策树(图6-4)进行分析比较。
从以上决策树可见,不作该项检查的死亡者为12例,均为胰腺癌病人。用该项检查手术后死亡12.5人,其中有5例为非胰腺癌病人。而且新的检查使44例非胰腺癌患者的胰腺功能因手术而可能受到损害。因此这项检查对病人是弊大于利,不宜使用。
(三)治疗决策分析
临床上处理病人时,常遇到这样几种情况:①不必作检查,也不必治疗,暂时观察;②先做检查,根据其结果酌情处理;③不用检查,直接给予治疗;④已作各方面检查,但仍难以确诊。对病人是否作进一步治疗,目前往往靠医生的经验。现介绍阈值分析法即用定量分析方法判断治疗与否会更全面和准确。
使用该法的前提是:只考虑一种疾病,病人患有该病或不患该病,虽经各种检查,但目前仍难以确诊;现有一种疗效肯定的治疗方法可供采用。如果不及时治疗,可能有发生并发症的危险,而治疗就肯定会带来好处。阈值分析法原理:如果患者患某病的概率大于治疗阈值,则应给予治疗;如果该病概率小于治疗阈值,则可暂不治疗作进一步检查。
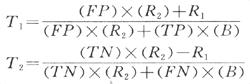
根据可靠的病史资料,诊断检查的准确性,治疗的效果以及检查、治疗的潜在危险性,可以算出两个阈值概率,即检查阈值概率(T1)和治疗阈值概率(T2)。

图6-5 阈值概率与决策(麦良寿.1987)
根据病史和一般检查结果估计患病概率P,假如某病人的患病概率P小于T1则选策略①,暂先观察;P大于T2则选策略③,直接给予治疗;P介于T1和T2之间,则选策略②,先做检查。
根据以往资料得到治疗的效益(B),治疗的危险性(R2),检查的危险性(R1),检查的真阳性率(TP),真阴性率(TN),假阳性率(FP)和假阴性率(FN),按下式计算T1,T2:

(式6-5)(式6-6)
例:男性患者,60岁,上腹部疼痛,呕血,上消化道钡餐检查提示胃大弯有一个2cm大小溃疡。面对患者,医师需作临床决策,即:
下一步处理是胃镜检查,还是剖腹探查术,或者两者均无必要?结合病史及钡餐检查结果,再根据以往的经验,胃镜科医生与放射科医生认为患者胃癌的概率约0.1。另外,年龄60岁其剖腹探查术死亡率(R2)为2%。早期手术的效益(B)为生存率提高33%,胃镜检查死亡率(R1)约0.005%,真阳性TP为96%,假阳性FP为2%。即已知B=0.33,R1=0.00005,R2=0.02,TP=0.96,FP=0.02,TN=0.98,FN=0.04。
把上述数据代入公式:

算出T1=0.0014,T2=0.60,患者的患病概率为0.1,处于T1和T2之间,选策略②,因此患者的处理应是先做胃镜检查。
由上述可见,医师在作出临床决策之前,要设法了解各种状态下发生的概率,从而使其所采取的策略更为合理。目前,临床决策分析仍处于起步阶段,临床医师一般习惯于根据自己的知识经验和习惯来作出临床决策。随着微型计算机在临床上的应用日益普遍,临床信息的贮存和处理在各医院广泛开展,将使临床决策分析会得到不断完善和发展。
全部讨论(0)
请在登录后参与讨论...