(一)流行病学实验室的定义及基本特征
流行病学实验研究(experimentalstudy)有时称为干预实验研究,系将研究人群随机分为实验组和对照组,由研究者对实验组施予干预措施,随访并比较两组的结局,以判断干预措施的效果。
由上述定义可知其基本特征如下:
1.流行病学实验研究必须有对照组或比较组。
2.实验组和对照组来自同一总体,并且是用随机的方法分配的。
3.
4.实验的方向是前瞻性的。
该方法常常可以作为一系列检验假设的最终手段而据以做出肯定性结论。也就是说,足够大的,随机的以及周密设计、实施和分析的实验研究,或者可以提供一个明确的阳性结果,或者可以提供一个可靠的无效的结局,因而可以对研究结论提供最强的、最直接的流行病学证据。
实验研究有两个主要的缺点:①实验研究有可能对研究的问题及有关环境控制过度,使被研究的人群及他们所处的环境状态有别于实际的自然情况,以至影响实验的外真实性;②实验研究不容易严格控制全部实验过程,特别涉及医德问题时,其可行性往往受到影响。
(二)流行病学实验研究的类型
流行病学实验研究的分类方法目前尚不统一。根据其研究对象的特征可分为三类:①临床试验(clinical trial),②现场试验(field trial),③社区干预试验(community intervention trial)。
临床试验以病人为研究对象,目的是评价某种疾病或状态的一种或多种新的疗法。临床试验中的干预不属一级预防范畴(详见第六章)。
现场试验的研究对象为尚未患病者,常需到“现场”(工作场所、家庭、部队、学校等)进行调查或建立研究中心。现场试验与临床试验相同之处在于,研究对象均按随机原则分为实验组(或叫干预组)和对照组(或叫比较组)。现场试验根据其用途不同,又可分为预防性试验和病因试验。
社区干预试验是现场试验的扩展,是涉及社区范围的干预。二者概念上的区别在于干预措施是针对个人的,还是针对一定地域或行政区域或某特定人群的。如疫苗是给个人的,但水加氟预防龋齿则是针对每个水源而不是个人。因此,后者应选择整个社区进行研究。有时社区干预试验用比社区小的人世间群进行干预更为方便。如饮食干预以家庭为单位最为方便,环境干预则可能以整个工厂、居民区或整幢办公楼为单位更为合适。
有人认为,流行病学实验研究本质上是一种队列研究的特例,所不同的是实验研究是研究同质的两组或多组人群,对实验组给予某种干预,而不给对照组以干预。队列研究是一种观察性研究,无干预可言。
还有一类不完全符合上述条件的实验研究称为准实验研究或类实验研究(quasi-ex-periment),又称半实验研究(semi-experiment)。其特点在于:①因实际情况不允许,研究对象常不作随机分组;②研究对象数量较大、范围较广;③无平行的对照,有时有内对照或自身对照。
类实验的设计与实施原则与标准的现场实验相比,除研究对象的分组一项之外,其余基本相同。类实验无法随机设对照组,但仍常设非随机对照组。这种类型的研究用得很多。例如,研究者规定甲地饮水加氟而乙地不加,又如选择甲校学生注射某种新的生物制品以预防某病,而乙校不注射,然后甲乙两校作比较。
类实验也可不另设对照组,而以实验组自身为对照,即干预试验前和干预试验后相比。某些情况下,亦可不做实验前的测量,只做干预后的测量。此时的前提是,研究者十分熟悉研究对象及现场的情况,十分明确不给干预措施可能出现的结果。
(三)实验研究设计与实施原则
1.形成假设和确定研究目标 首先要明确需要解决的问题。目的必须十分明确,设计是为目的服务的。是评价防治措施效果,还是检验危险因素或病因假设?目的明确才能选择合适的研究方法。
2.确定研究对象和现场 必须根据研究目的和要求,对选择研究对象的条件做出明确规定。例如,目的是研究麻疹疫苗的预防效果,应选择麻疹易感儿童为研究对象;目的是观察某种疫苗的免疫效果,应选择近期未发生过该病流行,但有该病流行的高度可能的地区中易感人群为对象。
3.确定样本大小 现场试验样本大小的估计方法及其依据的原则和参数与临床试验相同。但是,由于一般人群中某些事件的发生率常比临床试验研究对象中低得多,因此样本含量可能大得多。
比较两个率的差异时,样本大小的公式与病例对照研究的公式相同。
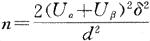
比较两个连续变量(计量资料)样本大小的公式如下:

δ为估计的标准差,d为估计的两变量平均值的差,Uα和Uβ分别为α和β水平相应的标准正态差。n为一组的样本数。
确定样本大小时,应考虑失访对结局及检验差异的影响,对失访率预先做出估计,用加大样本量给以补救。
4.确定研究期 不同的实验研究观察期限也有所不同,根据实验要求和观察终点而定。如观察疫苗预防效果宜在流行季节前1~2月开始,至少观察一个流行季节。但如果观察慢性非传染性疾病,如心血管疾病或肿瘤等,则需较长的观察期限。
确定研究期限还要考虑到所施予的干预的假定作用机制。如一项阿司匹林减少心血管病死亡的干预实验,其假设机制是阿司匹林对血小板凝聚性的直接影响,是一种较急性的反应,故观察期可较短。有时,研究过程中可能出现了一些有关机制的新的证据;或是因样本量不够大而不能获得足够的终点信息,因而需延长原计划的观察期限。这种决定应尽早做出。
总的原则是观察期限不宜过长,一旦收集的资料可以说明问题了,即可终止。时间过长则可能因人员流动、生活习惯的改变、社会环境的变化等因素给终点评估造成困难。
5.终点与终点的评估 研究的终点应选择一些较重大的事件,如发病、致残、死亡等。常用的评价指标有发生率、死亡率、保护率、抗体阳转率等。评估可以利用随访资料进行,也可以通过抽样方法在开始及结束时做横断面调查来完成。前后两次终点的标准及目标人群应保持不变,但应分别抽取两上不同的样本进行评估。
实验的目的在于预防死亡(如癌症或冠心病死亡)时,则应同时以全死因死亡率为评估标准进行评估。因为有的因子虽可使人群中某一种病的死亡率降低,但同时又可使其他疾病的死亡率升高,不做全面评估则会导致错误。一种大型的预防实验则应测量对健康的全面影响。
评估时还应考虑到各种偏倚的可能性及依从性问题。
6.盲法的应用 现场干预试验常和临床试验一样采用盲法试验(详见第六章)。
7.医德问题 临床试验要注意医德问题,现场试验更应注意。因为干预试验涉及面广、人数多,研究者必须以对研究对象的健康有利为最高原则,必须有充分的理由相信所采取的干预措施对人们无害才能用于试验研究。
干预试验还应考虑到可行性的问题。可行性指预期结果经过努力是否可能实现,以及经费、研究人员、设备、组织管理、现场等问题是否能妥善安排。应该强调的是,设计完成后,大规模群体试验前,有时应先做一个小规模的预试验来评价设计的可行性,并可对实验设计进行修订。
在资料分析时,对于研究对象中途退出和失访、研究对象的依从性等均应适当处理。
全部讨论(0)
请在登录后参与讨论...